Sukrit Mittal Franklin Templeton Investments
Up to now we solved investor problems.
CAPM answers a different question:
How are assets priced in equilibrium?
This is not about optimal portfolios.
It is about consistency across the entire market.
The fundamental question: If all investors are mean-variance optimizers, what must expected returns look like?
CAPM is: A model of how risk translates into return
CAPM is not: A trading strategy
It is a benchmark.
Developed independently by:
Sharpe won the Nobel Prize in Economics (1990) for this work.
The model revolutionized finance by providing a testable theory of expected returns.
We assume:
Mean–variance optimization: All investors choose portfolios based only on expected return and variance
Homogeneous expectations: All investors agree on:
Perfect capital markets:
Single-period horizon: All investors have the same investment horizon
Risk-free borrowing and lending: Investors can lend or borrow unlimited amounts at rate \(R_f\)
These assumptions are strong.
What each assumption enables:
Relaxing these assumptions leads to extensions and alternative models.
But understanding CAPM requires accepting them first.
Homogeneous expectations is the most controversial:
Perfect markets:
The question is not whether assumptions are true.
The question is whether the model is useful despite them.
From Lecture 07, we know:
In equilibrium:
The risky portfolio held by everyone must be the market portfolio.
Why? Market clearing.
This is the critical step.
The market portfolio \(M\) contains:
Definition:
\[ w_i^M = \frac{\text{Market value of asset } i}{\text{Total market value of all assets}} \]
Examples:
No asset can escape the market.
If it exists, it is priced.
In equilibrium, two conditions must hold:
Optimality: Each investor holds an optimal portfolio given prices
Market clearing: Total demand = Total supply for every asset
Combining these:
\[ \text{Aggregate holdings} = \text{Market portfolio} \]
Since everyone holds the tangency portfolio, it must equal the market portfolio.
This pins down expected returns.
Consider an asset \(i\) with return \(R_i\).
Decompose its risk relative to the market \(R_M\).
Only part of this risk matters, rest is diversifiable noise.
Any asset’s return can be written as:
\[ R_i = \mathbb{E}[R_i] + \beta_i(R_M - \mathbb{E}[R_M]) + \varepsilon_i \]
Where: * \(\beta_i(R_M - \mathbb{E}[R_M])\) = systematic component (market-driven) * \(\varepsilon_i\) = idiosyncratic component (asset-specific) * \(\mathbb{E}[\varepsilon_i] = 0\) and \(\text{Cov}(\varepsilon_i, R_M) = 0\) (by construction)
Total variance:
\[ \text{Var}(R_i) = \beta_i^2 \text{Var}(R_M) + \text{Var}(\varepsilon_i) \]
Define beta:
\[ \beta_i = \frac{\text{Cov}(R_i, R_M)}{\text{Var}(R_M)} \]
Beta measures:
Sensitivity to market movements.
Interpretation:
This is the only risk investors are paid for.
Why? Because idiosyncratic risk can be diversified away.
Consider the market portfolio \(M\).
For any asset \(i\):
Otherwise, \(M\) would not be optimal.
This restriction pins down expected returns.
Consider a portfolio with weight \(\alpha\) in asset \(i\) and \((1-\alpha)\) in the market portfolio \(M\).
Portfolio return:
\[ R_p(\alpha) = \alpha R_i + (1-\alpha) R_M \]
Portfolio variance:
\[ \sigma_p^2(\alpha) = \alpha^2 \sigma_i^2 + (1-\alpha)^2 \sigma_M^2 + 2\alpha(1-\alpha) \text{Cov}(R_i, R_M) \]
At \(\alpha = 0\) (pure market portfolio), the Sharpe ratio must be maximized.
First-order condition for maximum Sharpe ratio:
\[ \frac{d}{d\alpha}\left[\frac{\mathbb{E}[R_p(\alpha)] - R_f}{\sigma_p(\alpha)}\right]\Bigg|_{\alpha=0} = 0 \]
The Sharpe ratio of the mixed portfolio is:
\[ S(\alpha) = \frac{\mathbb{E}[R_p(\alpha)] - R_f}{\sigma_p(\alpha)} \]
For \(M\) to be optimal, the derivative with respect to \(\alpha\) must be zero at \(\alpha = 0\).
Step 1: Derivative of expected return
\[ \frac{d\mathbb{E}[R_p]}{d\alpha} = \mathbb{E}[R_i] - \mathbb{E}[R_M] \]
Step 2: Derivative of variance
\[ \frac{d\sigma_p^2}{d\alpha} = 2\alpha \sigma_i^2 + 2(1-2\alpha)\sigma_M^2 - 2(1-2\alpha)\text{Cov}(R_i, R_M)\]
At \(\alpha = 0\):
\[ \frac{d\sigma_p^2}{d\alpha}\Bigg|_{\alpha=0} = 2[\text{Cov}(R_i, R_M) - \sigma_M^2] \]
Step 3: Derivative of standard deviation
\[ \frac{d\sigma_p}{d\alpha}\Bigg|_{\alpha=0} = \frac{1}{\sigma_M}[\text{Cov}(R_i, R_M) - \sigma_M^2] \]
Step 4: Apply quotient rule to Sharpe ratio
\[ \frac{dS}{d\alpha} = \frac{\frac{d\mathbb{E}[R_p]}{d\alpha} \cdot \sigma_p - (\mathbb{E}[R_p] - R_f) \cdot \frac{d\sigma_p}{d\alpha}}{\sigma_p^2} \]
At \(\alpha = 0\), set numerator to zero:
\[ [\mathbb{E}[R_i] - \mathbb{E}[R_M]] \sigma_M = [\mathbb{E}[R_M] - R_f] \cdot \frac{\text{Cov}(R_i, R_M) - \sigma_M^2}{\sigma_M} \]
Step 5: Simplify
Rearranging:
\[ \mathbb{E}[R_i] - \mathbb{E}[R_M] = \frac{\mathbb{E}[R_M] - R_f}{\sigma_M^2}[\text{Cov}(R_i, R_M) - \sigma_M^2] \]
For the market portfolio itself, \(\text{Cov}(R_M, R_M) = \sigma_M^2\), so this holds with equality.
For any other asset \(i\):
\[ \mathbb{E}[R_i] = \mathbb{E}[R_M] + \frac{\mathbb{E}[R_M] - R_f}{\sigma_M^2}[\text{Cov}(R_i, R_M) - \sigma_M^2] \]
Rearranging:
\[ \mathbb{E}[R_i] = R_f + \frac{\text{Cov}(R_i, R_M)}{\sigma_M^2}[\mathbb{E}[R_M] - R_f] \]
Using \(\beta_i = \frac{\text{Cov}(R_i, R_M)}{\sigma_M^2}\):
\[ \boxed{\mathbb{E}[R_i] - R_f = \beta_i\big( \mathbb{E}[R_M] - R_f \big)} \]
This is the CAPM equation.
Plot expected return against beta.
The CAPM predicts a straight line:
\[ \mathbb{E}[R_i] = R_f + \beta_i (\mathbb{E}[R_M] - R_f) \]
This line is the Security Market Line (SML).
Key points on the SML:
Graphical Representation:

Figure: The Security Market Line shows the linear relationship between beta and expected return predicted by CAPM. Assets above the line are underpriced (positive alpha), while those below are overpriced (negative alpha).
Components:
Economic interpretation:
\[ \text{Expected excess return} = \beta \times \text{Market risk premium} \]
Asset pricing implications:
In theory.
Suppose: * \(R_f = 3\%\) * \(\mathbb{E}[R_M] = 10\%\) * Market risk premium: \(\mathbb{E}[R_M] - R_f = 7\%\)
Asset A: \(\beta_A = 0.8\) (defensive)
\[ \mathbb{E}[R_A] = 0.03 + 0.8(0.10 - 0.03) = 0.03 + 0.056 = 8.6\% \]
Asset B: \(\beta_B = 1.5\) (aggressive)
\[ \mathbb{E}[R_B] = 0.03 + 1.5(0.10 - 0.03) = 0.03 + 0.105 = 13.5\% \]
Asset C: \(\beta_C = 1.2\), observed return = \(15\%\)
CAPM prediction:
\[ \mathbb{E}[R_C] = 0.03 + 1.2(0.07) = 11.4\% \]
Actual return (15%) > CAPM prediction (11.4%)
Interpretation: Asset C is underpriced or has positive alpha.
Total risk decomposes into:
Diversification eliminates only the latter.
Markets pay only for what cannot be diversified.
Recall the risk decomposition:
\[ R_i = \mathbb{E}[R_i] + \beta_i(R_M - \mathbb{E}[R_M]) + \varepsilon_i \]
Taking variance:
\[ \text{Var}(R_i) = \beta_i^2 \text{Var}(R_M) + \text{Var}(\varepsilon_i) \]
R-squared: Fraction of variance explained by the market:
\[ R^2 = \frac{\beta_i^2 \text{Var}(R_M)}{\text{Var}(R_i)} \]
Key insight: In a well-diversified portfolio, idiosyncratic risks cancel out.
For a portfolio of \(n\) assets with equal weights:
\[ R_p = \frac{1}{n}\sum_{i=1}^n R_i = \mathbb{E}[R_p] + \beta_p(R_M - \mathbb{E}[R_M]) + \frac{1}{n}\sum_{i=1}^n \varepsilon_i \]
Where \(\beta_p = \frac{1}{n}\sum_{i=1}^n \beta_i\).
Variance of idiosyncratic component:
If \(\varepsilon_i\) are uncorrelated with average variance \(\bar{\sigma}_\varepsilon^2\):
\[ \text{Var}\left(\frac{1}{n}\sum_{i=1}^n \varepsilon_i\right) = \frac{\bar{\sigma}_\varepsilon^2}{n} \to 0 \text{ as } n \to \infty \]
Conclusion: Large portfolios eliminate idiosyncratic risk.
Since investors can diversify at zero cost, they won’t pay a premium for bearing idiosyncratic risk.
Visual Decomposition:

Figure: (Left) Risk decomposition for different asset types showing systematic and idiosyncratic components. (Right) R² interpretation showing the fraction of variance explained by the market.
Consider 50 stocks, each with: * Beta: \(\beta_i = 1.2\) * Idiosyncratic variance: \(\text{Var}(\varepsilon_i) = 0.04\) * Market variance: \(\sigma_M^2 = 0.04\)
Individual stock variance:
\[ \text{Var}(R_i) = (1.2)^2(0.04) + 0.04 = 0.0576 + 0.04 = 0.0976 \]
Standard deviation: \(\sigma_i = 31.2\%\)
Equally-weighted portfolio variance:
\[ \text{Var}(R_p) = (1.2)^2(0.04) + \frac{0.04}{50} = 0.0576 + 0.0008 = 0.0584 \]
Standard deviation: \(\sigma_p = 24.2\%\)
Risk reduction: From 31.2% to 24.2% (22% reduction)
The characteristic line relates an asset’s excess return to the market’s excess return:
\[ R_i - R_f = \alpha_i + \beta_i (R_M - R_f) + \varepsilon_i \]
This is a regression equation.
Components:
Assumptions:
Graphical Representation:

Figure: The characteristic line shows the regression of asset excess returns against market excess returns. The slope is beta, and the intercept is alpha. Positive alpha indicates outperformance relative to CAPM predictions.
Beta (\(\beta_i\)):
Alpha (\(\alpha_i\)):
Residual (\(\varepsilon_i\)):
In CAPM:
\[ \alpha_i = 0 \]
Nonzero alpha is a claim.
Extraordinary claims require extraordinary evidence.
Data: Historical returns for asset \(i\) and market \(M\) over \(T\) periods
Regression:
\[ r_{i,t} - r_{f,t} = \alpha_i + \beta_i(r_{M,t} - r_{f,t}) + \varepsilon_{i,t} \]
for \(t = 1, 2, \ldots, T\)
Ordinary Least Squares (OLS) estimate:
\[ \hat{\beta}_i = \frac{\sum_{t=1}^T (r_{i,t} - \bar{r}_i)(r_{M,t} - \bar{r}_M)}{\sum_{t=1}^T (r_{M,t} - \bar{r}_M)^2} \]
Standard error:
\[ \text{SE}(\hat{\beta}_i) = \frac{\hat{\sigma}_\varepsilon}{\sqrt{\sum_{t=1}^T (r_{M,t} - \bar{r}_M)^2}} \]
Where \(\hat{\sigma}_\varepsilon\) is the standard deviation of residuals.
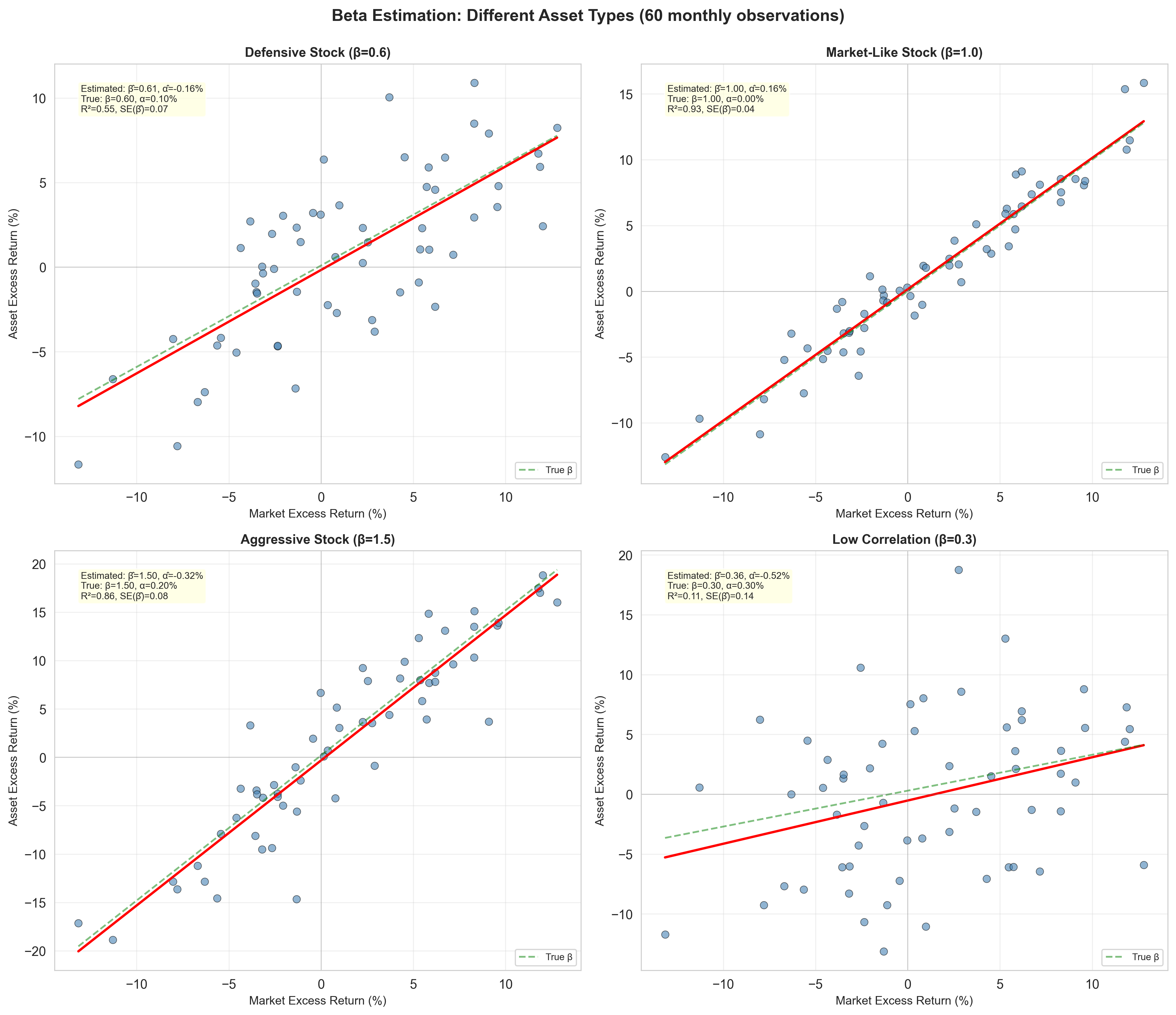
Beta Estimation Examples:

Figure: Beta estimation for different asset types using time-series regression. Each panel shows 60 monthly observations with the fitted characteristic line. Note how R² varies with the strength of market correlation.
Suppose we have 60 monthly returns for Stock XYZ and the S&P 500.
Regression results:
\[ r_{\text{XYZ},t} - r_{f,t} = 0.005 + 1.35(r_{M,t} - r_{f,t}) + \varepsilon_t \]
Interpretation:
CAPM prediction: With \(R_f = 2\%\) and \(\mathbb{E}[R_M] = 9\%\):
\[ \mathbb{E}[R_{\text{XYZ}}] = 0.02 + 1.35(0.09 - 0.02) = 11.45\% \]
If alpha persists, expected return would be: \(11.45\% + 6\% = 17.45\%\)
CAPM is elegant. Reality is less cooperative.
Empirically:
But CAPM survives as a benchmark.
Classic tests:
Black, Jensen, Scholes (1972): Found that low-beta stocks earn higher returns than CAPM predicts
Roll’s critique (1977): CAPM is untestable because the true market portfolio is unobservable
Key empirical findings:
Violated assumptions:
Despite failures, CAPM remains useful:
Given:
Tasks: 1. Calculate the expected return for Stock A using CAPM 2. Calculate the expected return for Stock B using CAPM 3. Which stock has higher expected return? Higher risk? Explain. 4. If Stock A’s actual expected return is 14%, what is its alpha?
You have the following data for Stock XYZ over 5 years:
| Year | Stock Return | Market Return | Risk-Free Rate |
|---|---|---|---|
| 1 | 12% | 8% | 2% |
| 2 | -5% | -3% | 2% |
| 3 | 18% | 12% | 2% |
| 4 | 8% | 6% | 2% |
| 5 | 15% | 10% | 2% |
Tasks: 1. Calculate excess returns for both stock and market 2. Estimate beta using the formula: \(\hat{\beta} = \frac{\text{Cov}(r_i - r_f, r_M - r_f)}{\text{Var}(r_M - r_f)}\) 3. Estimate alpha from the regression intercept 4. What is the R-squared of this relationship? 5. Discuss limitations of using only 5 years of data
An asset lies persistently above the SML.
List and explain three possible reasons:
For each reason, discuss: * Whether it implies market inefficiency * Whether it’s likely to persist * How an investor might exploit it
A stock has: * Total variance: \(\sigma_i^2 = 0.09\) (30% std dev) * Beta: \(\beta_i = 1.2\) * Market variance: \(\sigma_M^2 = 0.04\) (20% std dev)
Tasks: 1. Calculate the systematic risk component: \(\beta_i^2 \sigma_M^2\) 2. Calculate the idiosyncratic risk component: \(\text{Var}(\varepsilon_i)\) 3. What is the R-squared? Interpret this value. 4. If you hold 30 of these stocks (equally weighted, uncorrelated idiosyncratic risk), what is the portfolio’s total variance? 5. How much of the risk is eliminated by diversification?
You have a portfolio with three stocks:
| Stock | Weight | Beta |
|---|---|---|
| A | 30% | 0.8 |
| B | 50% | 1.3 |
| C | 20% | 1.6 |
Given \(R_f = 4\%\) and \(\mathbb{E}[R_M] = 12\%\):
Tasks: 1. Calculate the portfolio beta: \(\beta_p = \sum_i w_i \beta_i\) 2. Calculate the expected return of the portfolio using CAPM 3. Verify this matches the weighted average of individual expected returns 4. If you want to achieve \(\beta_p = 1.0\), how should you adjust the weights?
A company is considering a new project with the following characteristics: * Project beta: \(\beta = 1.4\) * Risk-free rate: \(R_f = 3\%\) * Market risk premium: \(\mathbb{E}[R_M] - R_f = 8\%\)
Tasks: 1. Calculate the required rate of return using CAPM 2. The project requires an initial investment of $10M and is expected to generate $12M in one year. Should the company accept the project? 3. What is the NPV of the project? 4. What beta would make the project break-even (NPV = 0)?
Key insight: CAPM is wrong, but useful.
It provides a disciplined way to think about risk and return.
All models are simplifications.
Good models clarify thinking even when they fail empirically.
Next lecture: We move beyond simple models to utility theory and risk measurement via Value-at-Risk (VaR).
The journey from portfolio theory to risk management.